Аймаг, нийслэлийн газар зохион байгуулалтын ерөнхий төлөвлөгөө боловсруулах чиглэлээр

Монгол Улсын Засгийн газрын 2024 оны 21 дүгээр тогтоолоор баталсан Засгийн газрын 2024-2028 оны үйл ажиллагааны хөтөлбөрийг хэрэгжүүлэх ажлын төлөвлөгөөний 4.2.4.1-т Ховд, Өвөрхангай аймгийн газар зохион байгуулалтын ерөнхий төлөвлөгөөг шинээр хийлгэх, Дархан-Уул, Говьсүмбэр, Хөвсгөл, Дорноговь, Өмнөговь, Увс аймгуудын газар зохион байгуулалтын ерөнхий төлөвлөгөөг тодотгон боловсруулахаар тусгагдсан.

Энэхүү ажлын хүрээнд 2025 онд “Монгол орны хөдөөгийн иргэдийн уур амьсгалын өөрчлөлтөд дасан зохицох чадамж болон эрсдэлийн менежментийг боловсронгуй болгох нь” төсөл, орон нутгийн хамтарсан санхүүжилтээр Ховд аймгийн газар зохион байгуулалтын ерөнхий төлөвлөгөөг шинэчилж, орон нутгийн санхүүжилтээр Говьсүмбэр, Дорноговь аймгуудын газар зохион байгуулалтын ерөнхий төлөвлөгөөг тодотгон боловсруулах ажлыг зохин байгуулж батлуулаад байна.

Мөн орон нутгийн санхүүжилтээр Өвөрхангай аймгийн газар зохион байгуулалтын ерөнхий төлөвлөгөө, “Хөдөө аж ахуйн менежмент, экосистемийн тогтвортой байдлыг хангах” (stream) төсөл, орон нутгийн хамтарсан санхүүжилтээр Хөвсгөл аймгийн газар зохион байгуулалтын ерөнхий төлөвлөгөөнд тодотгол хийх ажил хийгдэж эхлээд байна. 2026 онд Увс, Дундговь аймгуудын газар зохион байгуулалтын ерөнхий төлөвлөгөөг тодотгон боловсруулах ажлыг зохион байгуулна.

Зураг 1. Аймаг, нийслэлийн газар зохион байгуулалтын ерөнхий төлөвлөгөөний байдал

 image

Хүснэгт 1.Газар зохион байгуулалт, хот төлөвлөлтийн цахим системээс аймгийн газар зохион байгуулалтын ерөнхий төлөвлөгөөний хэрэгжилтийг (2026 оны 01 дүгээр сарын 26-ны өдрийн байдлаар) авч үзвэл:

 image

Тайлбар: Өвөрхангай, Хөвсгөл аймгуудын ерөнхий төлөвлөгөө шинэчилэн болон тодотгон боловсруулагдаж байгаа, Ховд, Говьсүмбэр, Дорноговь аймгуудын ерөнхий төлөвлөгөө 2025 оны 10, 11 дүгээр сард шинэчлэн батлагдсан, Увс аймгийн газар зохион байгуулалтын ерөнхий төлөвлөгөө 2026 онд шинэчлэн боловсруулах тул хэрэгжилтийг гаргаагүй болно.

Сумын нутаг дэвсгэрийн хөгжлийн төлөвлөгөө боловсруулах чиглэлээр

Засгийн газрын 2024 оны 92 дугаар тогтоолоор батлагдсан “Газар зохион байгуулалт хийх журам”-д заасны дагуу Улсын хэмжээнд сумын нутаг дэвсгэрийн хөгжлийн төлөвлөгөөтэй 181 сум, төлөвлөгөө боловсруулж байгаа 91 сум, цаашид төлөвлөгөө боловсруулах шаардлагатай 49 сум байна.

Үүнээс 2025 онд “Монгол орны хөдөөгийн иргэдийн уур амьсгалын өөрчлөлтөд дасан зохицох чадамж болон эрсдэлийн менежментийг боловсронгуй болгох нь” төсөл, “Хөдөө аж ахуйн менежмент, экосистемийн тогтвортой байдлыг хангах” (stream) төсөл болон орон нутгийн санхүүжилтээр Баянхонгор, Говь-Алтай, Дорнод, Дорноговь, Дундговь, Завхан, Өвөрхангай, Өмнөговь, Төв, Увс, Хөвсгөл, Хэнтий аймгуудын 91 суманд нутаг дэвсгэрийн хөгжлийн төлөвлөгөө боловсруулах ажил хийгдэж байна. 2026 онд 20 суманд нутаг дэвсгэрийн хөгжлийн төлөвлөгөөг боловсруулах ажлыг зохион байгуулна.

Сумын нутаг дэвсгэрийн хөгжлийн төлөвлөгөөний 2025 оны хэрэгжилт:

Улсын хэмжээнд 2025 онд сумын нутаг дэвсгэрийн хөгжлийн төлөвлөгөөний дагуу газрын нэгдмэл сангийн бүх ангиллын газарт 10992 байршил арга хэмжээг хэрэгжүүлж 30.1 хувийн биелэлттэй байна.

Зураг 2.Сумын нутаг дэвсгэрийн хөгжлийн төлөвлөгөө боловсруулалтын байдал

 image

Хүснэгт 2.Сумын нутаг дэвсгэрийн хөгжлийн төлөвлөгөөний 2025 оны хэрэгжилт

 image

Нийслэл, сум, дүүргийн 2025 оны газар зохион байгуулалтын төлөвлөгөөний хэрэгжилт, 2026 оны газар зохион байгуулалтын төлөвлөгөө боловсруулах чиглэлээр

Монгол Улсын 2024 оны төсвийн тухай хуулийг дагалдуулан Газрын тухай хуульд нэмэлт, өөрчлөлт орж 2024 оны 01 дүгээр сарын 01-ний өдрөөс дагаж мөрдөж эхэлсэн.

Тус өөрчлөлтөөр Газрын тухай хуулийн 23.2.4-т “улсын хэмжээнд газар зохион байгуулалтын үйл ажиллагааг эрхлэх, тухайн жилд эзэмшүүлэх, ашиглуулах газрын байршил, хэмжээ, зориулалтын жагсаалтыг боловсруулж, Засгийн газарт оруулан шийдвэрлүүлэх, хэрэгжилтэд хяналт тавих” заасан.

Ийнхүү Монгол Улсын Засгийн газар улсын хэмжээнд тухайн жилд эзэмшүүлэх, ашиглуулах газрын байршил, хэмжээ, зориулалтын жагсаалт батлах болсонтой холбогдуулан Газар зохион байгуулалт, геодези, зураг зүйн ерөнхий газар нь Газрын нэгдмэл сангийн удирдлагын нэгдсэн цахим системээр дамжуулан 2025 онд улсын хэмжээнд төлөвлөсөн нэгж талбаруудыг Газрын тухай хууль, Хот байгуулалтын тухай хууль болон бусад холбогдох хууль тогтоомжийн дагуу газар зохион байгуулалтын ерөнхий төлөвлөгөө, хотын хөгжлийн ерөнхий төлөвлөгөөтэй уялдсан эсэх, хамгаалалтын бүс, зурвас газар, усны сан бүхий газрын энгийн болон онцгой хамгаалалтын бүсийн дэглэмд нийцүүлэн төлөвлөсөн эсэх, улсын тусгай хэрэгцээний газар, ашигт малтмалын тусгай зөвшөөрөл бүхий талбайтай давхцалтай байгаа эсэхийг тус тус шалгаж, давхцал, зөрчилгүй нэгж талбаруудыг Монгол Улсын Засгийн газарт өргөн барьж, батлуулсан.

Монгол Улсын Засгийн газар улсын хэмжээнд 2025 онд эзэмшүүлэх, ашиглуулах газрын байршил, хэмжээ, зориулалтын жагсаалтыг 2025 оны 120, 06, 74, 172 дугаар тогтоолуудаар тус тус баталсан бөгөөд улсын хэмжээнд 2025 онд нийт 28882 нэгж талбарыг иргэн, аж ахуйн нэгж, байгууллагад эзэмшүүлж, ашиглуулахаар болсон.

2025 оны газар зохион байгуулалтын төлөвлөгөөний хэрэгжилтийг Газрын нэгдмэл сангийн удирдлагын нэгдсэн цахим системээр дамжуулан Монгол Улсын Засгийн газрын 2025 оны 120, 06, 74, 172 дугаар тогтоолуудаар баталсан улсын хэмжээнд 2025 онд эзэмшүүлж, ашиглуулах газрын мэдээ болон Монгол Улсын Засгийн газрын 2025 оны 119 дүгээр тогтоолоор баталсан улсын хэмжээнд 2025 онд өмчлүүлэх газрын мэдээг тус тус үндэслэн гаргав.

2025 оны газар зохион байгуулалтын төлөвлөгөөний хэрэгжилт:

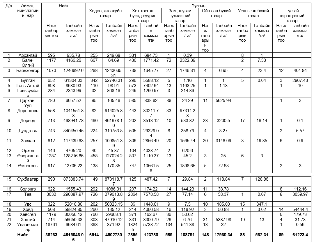
Улсын хэмжээнд 2025 оны нийслэл, сум, дүүргийн газар зохион байгуулалтын төлөвлөгөөнд нийт 36263 байршилд 4815047.06 га талбай бүхий газрыг төлөвлөснөөс жилийн эцсийн байдлаар нийт 20345 байршилд 3670639.69 га талбай бүхий газрыг өмчлүүлж, эзэмшүүлж, ашиглуулах, нөхөн сэргээх, хамгаалах арга хэмжээг хэрэгжүүлсэн байна.

Хүснэгт 3. Тухайн жилийн газар зохион байгуулалтын төлөвлөгөөний хэрэгжилтийн байдал. (Аймаг, нийслэлээр)

 image

График 1. 2025 оны газар зохион байгуулалтын төлөвлөгөө, түүний хэрэгжилтийг нэгж талбараар харуулсан байдал.

 image

2025 оны газар зохион байгуулалтын төлөвлөгөөг дараах аймгууд хангалттай сайн хэрэгжүүлж ажилласан байна. Үүнд:

Газар зохион байгуулалт, төлөвлөлтийн цахим системээс 2025 оны тухайн жилийн газар зохион байгуулалтын төлөвлөгөөний хэрэгжилтийг үзэхэд Говьсүмбэр аймаг 95.07 хувь, Орхон аймаг 91.10 хувь, Архангай аймаг 89.41 хувь, Говь-Алтай аймаг 86.39 хувь, Өвөрхангай аймаг 84.54 хувь, Сэлэнгэ аймаг 82.64 хувьтай тус тус хэрэгжүүлсэн байна.

Харин 50 хувиас доош хэрэгжилттэй Дорнод аймаг 45.02 хувь, Өмнөговь аймаг 42.09 хувь, Төв аймаг 41.96 хувь, Дархан-Уул 39.87 хувьтай хэрэгжүүлсэн байна.

Хүснэгт 4. Тухайн жилийн төлөвлөгөөг арга хэмжээний төрлөөр авч үзвэл:

 image

2025 онд нийслэл, сум, дүүргийн тухайн жилийн газар зохион байгуулалтын төлөвлөгөөнд 27373 нэгж талбарыг өргөдлийн дагуу олгохоор, 4422 нэгж талбарын давуу эрхээр, 100 нэгж талбарыг нийгмийн зайлшгүй хэрэгцээг үндэслэн нөхөн олговортойгоор газар чөлөөлөхөөр, 1402 нэгж талбарыг дуудлага худалдаагаар олгохоор, 537 нэгж талбарыг төсөл сонгон шалгаруулалтаар, 314 байршилд газар чөлөөлөхөөр, 377 байршилд нийтийн эдэлбэрийн газрын төлөвлөлтөөр, 694 байршилд нөхөн сэргээх, хамгаалахаар, 1044 нэгж талбарыг төсөвт байгууллагын зайлшгүй хэрэгцээнд тус тус тусгаснаас 14936 нэгж талбарыг өргөдлийн дагуу, 3147 нэгж талбарын давуу эрхээр, 634 нэгж талбарыг дуудлага худалдаагаар, 185 нэгж талбарыг төсөл сонгон шалгаруулалтаар, 7 нэгж талбарыг нийгмийн зайлшгүй хэрэгцээг үндэслэн нөхөн олговортойгоор газар чөлөөлж тус тус олгосон бол 101 байршилд газар чөлөөлж, 143 байршилд газрыг нийтийн эдэлбэрт авч, 425 байршилд газрыг нөхөн сэргээн хамгаалж, төлөвлөгөөний хэрэгжилт 56.10 хувь хэрэгжсэн байна.

График 2.Улсын хэмжээний 2025 оны газар зохион байгуулалтын төлөвлөгөө, түүний хэрэгжилтийг арга хэмжээний төрлөөр харуулсан байдал.

 image

Хүснэгт 5. Сүүлийн 3 жилийн газар зохион байгуулалтын төлөвлөгөөний хэрэгжилтийг хувиар харьцуулан харуулбал:

 image

График 3. Сүүлийн 3 жилийн газар зохион байгуулалтын төлөвлөгөөний хэрэгжилтийг графикаар харуулбал (хувиар)

 image

Хот, тосгон, бусад суурины газрын 2025 оны тухайн жилийн газар зохион байгуулалтын төлөвлөгөөний хэрэгжилт

Улсын хэмжээнд нийслэл, сум, дүүргийн 2025 оны газар зохион байгуулалтын төлөвлөгөөнд хот тосгон, бусад суурин газрын ангилалд хамаарах зориулалтаар нийт 28855 байршилд 123780 га газрыг төлөвлөснөөс жилийн эцсийн байдлаар нийт 15645 байршилд 90074.8 га газрыг өмчлүүлж, эзэмшүүлж, ашиглуулж, хамгаалах арга хэмжээг авч дунджаар 54.21 хувьтай хэрэгжүүлсэн байна.

Хүснэгт 6. Хот тосгон, бусад суурин газрын 2025 оны төлөвлөгөөний хэрэгжилтийг аймаг, нийслэлээр харуулбал.

 image

Дээрх хүснэгтээс үзэхэд Говьсүмбэр аймаг 96.78 хувь, Орхон аймаг 90.38 хувь, Архангай аймаг 89.42 хувь, Завхан аймаг 88.23 хувь, Говь-Алтай аймаг 87.08 хувь, Хэнтий аймаг 87.00 хувь, Дорноговь аймаг 81.48 хувь, Сүхбаатар аймаг 80.08 хувиар тус тус газар зохион байгуулалтын тухайн жилийн төлөвлөгөөгөө хангалттай сайн биелүүлсэн байна.

Харин Увс аймаг 34.88 хувь, Дархан-Уул аймаг 31.45 хувь, Өмнөговь аймаг 30.96 хувь, Баян-өлгий аймаг 30.96 хувьтай тус тус хангалтгүй биелүүлсэн байна.

График 4. Хот тосгон, бусад суурин газрын 2025 оны төлөвлөгөөний хэрэгжилт, нэгж талбараар харуулвал.

 image

График 5. Хот тосгон бусад суурин газрын 2025 оны төлөвлөгөөний хэрэгжилтийг газрын хэмжээгээр харуулбал (га-гаар)

 image

Хөдөө аж ахуйн газрын 2025 оны тухайн жилийн газар зохион байгуулалтын төлөвлөгөөний хэрэгжилт

Улсын хэмжээнд 2025 оны газар зохион байгуулалтын төлөвлөгөөний хөдөө аж ахуйн ангиллын газарт нийт 6514 байршил бүхий 4503330 га газрыг төлөвлөснөөс 4254 байршилд 3563622 га газрыг эзэмшүүлэх болон хамгаалах , нөхөн сэргээх арга хэмжээг 65.30 хувьтай хэрэгжүүлсэн байна.

Хүснэгт 7. Хөдөө аж ахуйн ангиллын газрын 2025 оны газар зохион байгуулалтын төлөвлөгөөний хэрэгжилтийн байдал

 image

Газар зохион байгуулалтын 2025 оны төлөвлөгөөг хөдөө, аж ахуйн ангиллын газарт дараах аймгууд хангалттай сайн хэрэгжүүлсэн байна. Үүнд: Орхон аймаг 97.50 хувь, Өмнөговь аймаг 97.10 хувь, Дорноговь аймаг 92.68 хувь, Архангай аймаг 89.01 хувь, Архангай аймаг 88.97 хувь, Өвөрхангай аймаг 85.58 хувьтай тус тус хангалттай сайн хэрэгжүүлэн ажилласан байна.

Дархан-Уул аймаг төсөл сонгон шалгаруулах зарчмаар малчдын хоршоонд нийт 52 байршилд 134.64 га талбай бүхий газрыг төлөвлөснөөс 5 байршилд 17.5 га газрыг эзэмшүүлж, 9.62 хувийн хэрэгжилттэй байна. Мөн Дорнод аймаг 46.52 хувь, Дархан-Уул аймаг 45.62 хувь, Төв аймаг 43.93 хувь, Завхан аймаг 40.85 хувьтай тус тус хангалтгүй хэрэгжсэн байна.

Иймд тухайн жилийн газар зохион байгуулалтын төлөвлөгөөг боловсруулахдаа суурин болон хээрийн судалгааны ажлыг үнэн бодитойгоор хийж, төлөвлөгөөг боловсруулах шаардлагатай байна.

График 6. Хөдөө аж ахуйн газрын 2025 оны төлөвлөгөөний хэрэгжилтийг газрын хэмжээгээр харуулвал. (нэгж талбараар)

 image

Хүснэгт 8. Газар зохион байгуулалтын төлөвлөгөөний хөдөө, аж ахуйн ангилалын газрын сүүлийн 3 жилийн хэрэгжилтийг хувиар харуулбал.

 image

График 7. Хөдөө аж ахуйн газрын ангилалын тухайн жилийн газар зохион байгуулалтын төлөвлөгөөний сүүлийн 3 жилийн хэрэгжилт (хувиар)

 image

Зам, шугам сүлжээний газрын 2025 оны тухайн жилийн газар зохион байгуулалтын төлөвлөгөөний хэрэгжилт

Газар зохион байгуулалтын 2025 оны төлөвлөгөөнд нийт 589 байршилд 108791 га газар төлөвлөснөөс жилийн эцсийн байдлаар 269 байршилд 4393.12 га газрыг эзэмшүүлж, ашиглуулж, хамгаалснаар улсын хэмжээнд зам, шугам сүлжээний ангиллын газрын төлөвлөгөөний хэрэгжилт 45.67 хувьтай байна.

Хүснэгт 9. Зам, шугам сүлжээний газрын 2025 оны газар зохион байгуулалтын төлөвлөгөөний хэрэгжилтийн байдал

 image

2025 оны газар зохион байгуулалтын төлөвлөгөөнд зам, шугам сүлжээний газрын ангилалд хамаарах зориулалтаар төлөвлөсөн төлөвлөгөөний хэрэгжилт Архангай аймаг 100 хувь, Дорнод аймагт 90 хувь, Дархан-Уул аймагт 89.77 хувь, Баянхонгор аймагт 85.18 хувь, Төв аймагт 74.07 хувь, Сэлэнгэ аймагт 71.42 хувь, Сүхбаатар аймагт 71.42 хувьтай тус тус хэрэгжсэн байна.

Харин Орхон аймагт нарны цахилгаан станцын зориулалтаар нийт 620.6 га талбай бүхий 2 байршлыг төлөвлөснөөс нарны цахилгаан станцын зориулалтаар төлөвлөсөн арга хэмжээ хэрэгжээгүй байна. Тус аймгийн хэмжээнд зам, шугам сүлжээний газрын ангилалд хамаарах зориулалтаар төлөвлөсөн төлөвлөгөөний хэрэгжилт 0 хувьтай байна.

График 8. Зам, шугам сүлжээний газрын ангилалд хамаарах зориулалтаар эзэмшүүлэх, ашиглуулах, хамгаалах газрын 2025 оны төлөвлөгөөний хэрэгжилт нэгж талбараар.

 image

Ойн сан бүхий газрын 2025 оны газар зохион байгуулалтын төлөвлөгөөний хэрэгжилт

2025 оны газар зохион байгуулалтын төлөвлөгөөнд ойн сан бүхий газрын ангилалд хамаарах зориулалтаар нийт 409 байршилд 81067.47 га талбай бүхий газрыг эзэмшүүлж, ашиглуулахаар төлөвлөснөөс жилийн эцсийн байдлаар 178 байршилд 23284.25 га талбай бүхий газрыг эзэмшүүлж, ашиглуулж, хамгаалснаар улсын хэмжээнд ойн сан бүхий газрын ангиллын төлөвлөгөөний хэрэгжилт дунджаар 43.52 хувьтай байна.

Хүснэгт 10. Ойн сан бүхий газрын 2025 оны газар зохион байгуулалтын төлөвлөгөөний хэрэгжилтийн байдал. (Аймаг, нийслэлээр)

 image

2025 оны газар зохион байгуулалтын төлөвлөгөөнд ойн сан бүхий газрын ангилалд хамаарах зориулалтаар төлөвлөсөн төлөвлөгөөний хэрэгжилт Сүхбаатар аймагт 100 хувь, Завхан аймаг 85 хувь, Хэнтий аймаг 83.87 хувь, Өмнөговь аймаг 80 хувь, Увс аймаг 70 хувь, Өвөрхангай аймаг 66.66 хувь, Сэлэнгэ аймаг 63.63 хувьтай тус тус хэрэгжсэн байна.

Харин Булган аймаг мод үржүүлгийн газар байгуулах зориулалтаар төлөвлөсөн 1 байршил, Говь-Алтай аймаг мод бут, сөөг, загийг шинээр тарих, нөхөн суулгалт хийх зориулалтаар 1 байршил, Ховд аймаг цэвэрлэгээ хийх ой бүхий газар 1 байршил, мод үржүүлгийн газар байгуулах зориулалтаар 2 байршил тус тус төлөвлөсөн боловч хэрэгжээгүй байна.

Архангай, Баян-Өлгий, Говьсүмбэр, Орхон, Дорноговь, Хөвсгөл аймгууд 2025 онд ойн сан бүхий газрын ангилалд хамаарах зориулалтаар арга хэмжээ төлөвлөөгүй байна.

График 9. Ойн сан бүхий газрын ангилалд хамаарах зориулалтаар эзэмшүүлэх, ашиглуулах, хамгаалах газрын 2025 оны төлөвлөгөөний хэрэгжилт (нэгж талбараар)

 image

Усны сан бүхий газрын 2025 оны газар зохион байгуулалтын төлөвлөгөөний хэрэгжилт

2025 оны газар зохион байгуулалтын төлөвлөгөөнд улсын хэмжээнд усны сан бүхий газрын ангилалд хамаарах зориулалтаар нийт 67 байршилд 1308.26 га талбай бүхий газрыг төлөвлөснөөс жилийн эцсийн байдлаар 50 байршилд 1224.69 га талбай бүхий газрыг эзэмшүүлж, ашиглуулах, хамгаалах арга хэмжээ авч хэрэгжилт 75 хувьтай байна.

Хүснэгт 11. Усны сан бүхий газрын 2025 оны газар зохион байгуулалтын төлөвлөгөөний хэрэгжилт.

 image

2025 оны газар зохион байгуулалтын төлөвлөгөөнд усны сан бүхий газрын ангилалд хамаарах зориулалтаар төлөвлөсөн төлөвлөгөөний хэрэгжилт Архангай, Завхан, Өвөрхангай, Төв, Ховд аймгуудад 100 хувь, Увс аймагт 93.33 хувь, Сүхбаатар аймагт 85.71 хувь, Баянхонгор аймагт 75 хувь, Хэнтий аймагт 57.89 хувьтай тус тус хэрэгжсэн байна.

Харин Баян-Өлгий аймагт хиймэл нуур, хөв, цөөрөм байгуулахаар төлөвлөсөн 2 байршил нь хэрэгжээгүй байна.

Иймд тухайн жилийн төлөвлөгөө боловсруулахдаа суурин болон хээрийн судалгааны ажлыг оновчтой, үнэн, бодит төлөвлөх, хамгаалах арга хэмжээний зардлыг орон нутгийн төсөвт тусган шийдвэрлэж, газар зохион байгуулалт, төлөвлөлтийн цахим системд хамгаалах арга хэмжээний хэрэгжилтийг бүрэн гүйцэт оруулах шаардлагатай байна.

График 10. Усны сан бүхий газрын ангилалд хамаарах зориулалтаар эзэмшүүлэх, ашиглуулах, хамгаалах газрын 2025 оны төлөвлөгөөний хэрэгжилт (нэгж талбар бүрээр)

 image

Тусгай хэрэгцээний газрын 2025 оны газар зохион байгуулалтын төлөвлөгөөний хэрэгжилт

Газар зохион байгуулалтын 2025 оны төлөвлөгөөнд улсын хэмжээнд тусгай хэрэгцээний газрын ангилалд хамаарах зориулалтаар нийт 69 байршилд 61223.4 га талбай бүхий газрыг төлөвлөснөөс жилийн эцсийн байдлаар 32 байршилд 3364.47 га талбай бүхий газрыг эзэмшүүлэх, ашиглуулах, хамгаалах арга хэмжээ хэрэгжүүлснээр улсын хэмжээнд хэрэгжилт 46.37 хувьтай байна.

Хүснэгт 12. 2025 оны газар зохион байгуулалтын төлөвлөгөөнд тусгай хэрэгцээний газрын ангилалд хамаарах зориулалтаар төлөвлөсөн арга хэмжээний хэрэгжилт.

 image

2025 оны газар зохион байгуулалтын төлөвлөгөөнд тусгай хэрэгцээний газрын ангилалд хамаарах зориулалтаар төлөвлөсөн төлөвлөгөөний хэрэгжилт Булган, Дархан-Уул, Дорнод, Завхан аймгуудад 100 хувь, Сэлэнгэ аймагт 75 хувь, Хөвсгөл аймагт 66.66 хувь, Баянхонгор аймагт 58.33 хувь, Өмнөговь, Хэнтий аймагт 50 хувьтай тус тус хэрэгжсэн байна.

Харин Говь-Алтай, Дундговь, Ховд, Улаанбаатар төлөвлөсөн арга хэмжээнээсээ хэрэгжүүлээгүй байна.

График 11. Тусгай хэрэгцээний газрын ангилалд хамаарах зориулалтаар эзэмшүүлж, ашиглуулж, хамгаалсан арга хэмжээний 2025 оны төлөвлөгөөний хэрэгжилт (нэгж талбараар)

 image

Хүснэгт 13. 2025 оны газар зохион байгуулалтын төлөвлөгөөний хэрэгжилтийг газрын нэгдмэл сангийн ангиллаар харуулсан байдал

 image

Сум, нийслэл, дүүргийн 2026 оны газар зохион байгуулалтын төлөвлөгөө

Сум, нийслэл, дүүргийн 2026 оны газар зохион байгуулалтын төлөвлөгөө

Газрын нэгдмэл сангийн удирдлагын нэгдсэн цахим системд 2026 оны 01 дүгээр сарын 30-ны өдрийн байдлаар нийслэл болон түүний 9 дүүрэг, 21 аймгийн 328 сумд 2026 оны газар зохион байгуулалтын төлөвлөгөөний нийт 357 төслийг үүсгэсэн байх бөгөөд Газрын тухай хуулийн 23 дугаар зүйлийн 23.2.3 “аймаг, нийслэлийн газар зохион байгуулалтын ерөнхий төлөвлөгөө болон энэ хуулийн 25.1.4-т заасан төлөвлөгөөний төсөлд дүгнэлт өгөх, хэрэгжилтэд хяналт тавих;”-т заасны дагуу Газрын тухай хууль болон холбогдох хууль тогтоомжид нийцүүлэн төлөвлөсөн эсэхэд дүгнэлт гаргуулж, тухайн шатны иргэдийн Төлөөлөгчдийн Хурлаар батлуулсан байна.

Мөн Байгаль орчин, уур амьсгалын өөрчлөлтийн яамнаас Тусгай хамгаалалттай газар нутгийн тухай хуулийн 6 1 дугаар зүйлийн 2-т заасан "Тусгай хамгаалалттай газар нутгийн газар зохион байгуулалтын жилийн төлөвлөгөө"-г үндэслэн 2026 онд Улсын тусгай хамгаалалттай газарт ашиглуулах газрын байршил, хэмжээ, зориулалтын санал, Хүннү хотын эдэлбэр газарт 2026 онд иргэн, аж ахуйн нэгж, байгууллагад ашиглуулах газрын байршил, хэмжээ, зориулалтын саналыг ирүүлсэн.

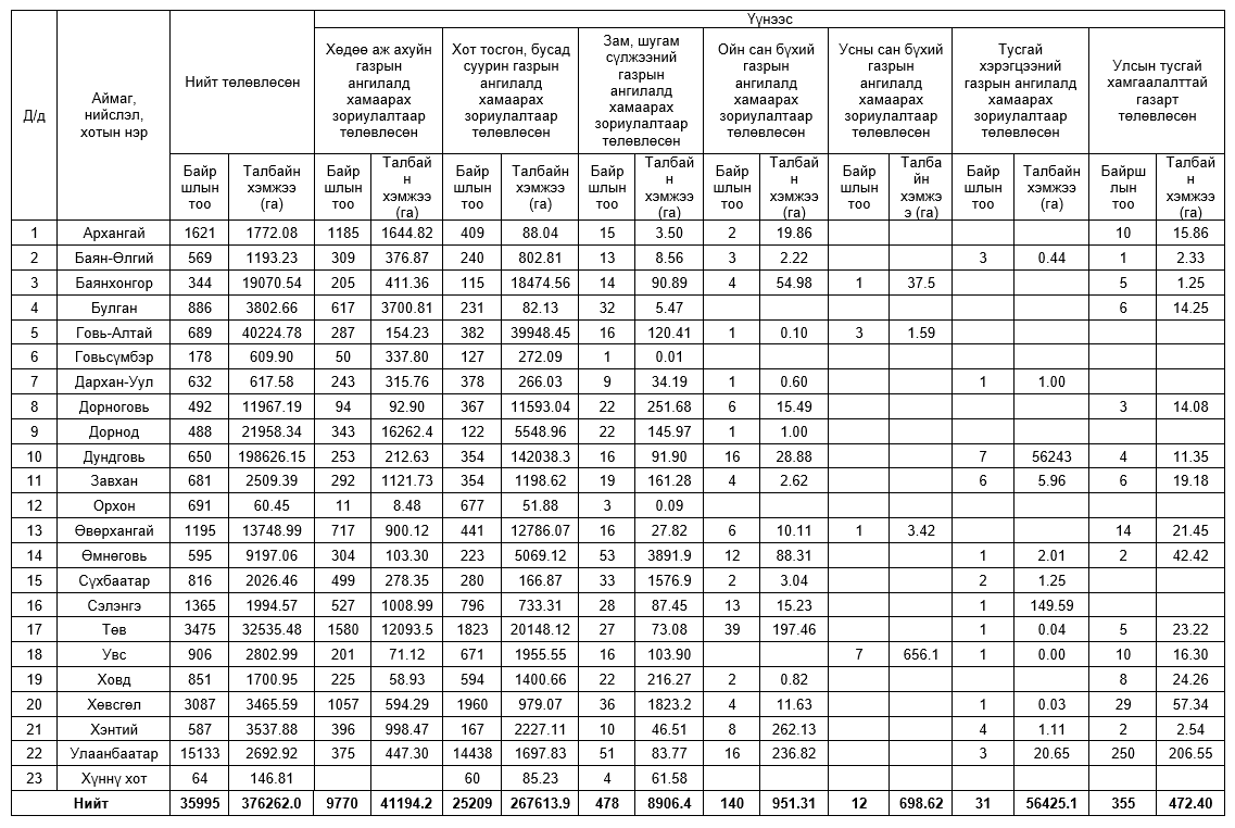
Ийнхүү улсын хэмжээнд 2026 онд нийт 376.26 мянган га талбай бүхий 35995 нэгж талбарыг иргэн, аж ахуйн нэгж байгууллагад эзэмшүүлж, ашиглуулахаар төлөвлөсөн байна. Үүнээс Хөдөө аж ахуйн газрын ангилалд хамаарах зориулалтаар нийт 41.19 мянган га талбай бүхий 9770 нэгж талбар , Хот тосгон, бусад суурин газрын ангилалд хамаарах зориулалтаар нийт 267.61 мянган га талбай бүхий 25209 нэгж талбар, Зам, шугам сүлжээний газрын ангилалд хамаарах зориулалтаар нийт 8.91 мянган га талбай бүхий 478 нэгж талбар, Ойн сан бүхий газрын ангилалд хамаарах зориулалтаар нийт 0.95 мянган га талбай бүхий 140 нэгж талбар, Усны сан бүхий газрын ангилалд хамаарах зориулалтаар нийт 0.7 мянган га талбай бүхий 12 нэгж талбар, Улсын тусгай хэрэгцээний газрын ангилалд хамаарах зориулалтаар нийт 56.43 мянган га талбай бүхий 31 нэгж талбар, Улсын тусгай хамгаалалттай газарт нийт 0.47 мянган га талбай бүхий 355 нэгж талбарыг тус тус төлөвлөсөн байна.

График 12. Улсын хэмжээнд 2026 онд эзэмшүүлэх, ашиглуулахаар төлөвлөсөн нийт нэгж талбаруудыг ГНС-ын ангиллаар ангилж харуулбал

 image

Хүснэгт 14. Улсын хэмжээнд 2026 онд эзэмшүүлж, ашиглуулахаар төлөвлөсөн нийт газрын хэмжээ, байршил, зориулалт

 image

Газар өмчлөл

“Монгол Улсын иргэнд 2025 онд өмчлүүлэх газрын нийт хэмжээ, байршил, зориулалтыг тогтоох тухай” Засгийн газрын 119 болон 05 дугаар тогтоолын хэрэгжилт:

Монгол Улсын Засгийн газрын 2025 оны 119 болон 05 дугаар тогтоолоор улсын хэмжээнд нийт 8702 иргэнд 961.66 га газрыг өмчлүүлэхээр батлагдсанаас нийт 4794 иргэнд 529.03 га газрыг өмчлүүлсэн байна. Тогтоолын хэрэгжилт 55.1 хувьтай байна.

Үүнээс нийт 4785 иргэнд 528.34 га газрыг гэр бүлийн хэрэгцээний зориулалтаар үнэгүй, 9 иргэнд 0.69 га газрыг аж ахуйн зориулалтаар үнээр нь тус тус өмчлүүлсэн байна. Говь-Алтай, Орхон, Сүхбаатар аймгийн төвийн сумд хотын хөгжлийн ерөнхий төлөвлөгөө хийлгэж байгаа тул 2025 онд иргэдэд өмчлүүлэх газрыг төлөвлөөгүй байна.

Харин нийслэлийн хэмжээнд нийт 1417 иргэний эзэмшиж байгаа 86.77 га газрыг нь өмчлүүлсэн байна.

Гэр бүлийн хэрэгцээний зориулалтаар үнэгүй өмчлүүлсэн газрыг дэлгэрэнгүй авч үзвэл 2434 иргэнд шинээр 218.68 га, 2006 иргэнд одоо эзэмшиж байгаа 137.18 га, Хөшигийн хөндийн тусгай хэрэгцээний газартай давхацсан Төв аймгийн Алтанбулаг сумын 345 иргэнд нөхөх олговортойгоор сольж 172.48 га газрыг тус тус өмчлүүлсэн байна.

График 13. Монгол Улсын Засгийн газрын 2025 оны 119 болон 05 дугаар тогтоолын хэрэгжилт

 image

График 2. 2025 онд иргэнд гэр бүлийн хэрэгцээний зориулалтаар болон аж ахуйн зориулалтаар өмчлүүлсэн газрын хэмжээ /га-аар/

 image

Хүснэгт 15. Монгол Улсын засгийн газрын 2025 оны 119 болон 05 дугаар тогтоолын хэрэгжилт

 image

“Иргэнд 2026 онд өмчлүүлэх газрын нийт хэмжээ, байршил, зориулалтыг тогтоох тухай” Засгийн газрын тогтоолын төсөл:

Газар зохион байгуулалт, геодези, зураг зүйн ерөнхий газраас аймаг, нийслэлийн иргэдийн Төлөөлөгчдийн хурлаар иргэнд 2026 онд өмчлүүлэх газрын нийт хэмжээ, байршил, зориулалтыг сум, дүүрэг тус бүрээр хэлэлцэн баталж ирүүлсэн саналыг Монгол Улсын иргэнд газар өмчлүүлэх тухай хуулийн 10 дугаар зүйлийн 10.1.3 дахь заалтыг үндэслэн хянаж нэгтгэн, Засгийн газрын тогтоолын төслийг боловсруулсан.

Ингэхдээ дээрх нэгж талбаруудыг Газрын нэгдмэл сангийн удирдлагын нэгдсэн цахим системээр дамжуулан Монгол Улсын иргэнд газар өмчлүүлэх тухай, Хот байгуулалтын тухай хууль болон холбогдох бусад хууль тогтоомж, хотын хөгжлийн ерөнхий төлөвлөгөөтэй уялдсан эсэх, хамгаалалтын бүс, зурвас газар, усны сан бүхий газрын онцгой хамгаалалтын бүсийн дэглэмд нийцүүлэн төлөвлөсөн эсэх, улсын тусгай хэрэгцээний газар, ашигт малтмалын тусгай зөвшөөрөл бүхий талбайтай давхцалтай эсэхийг тус тус шалгаж, давхцал, зөрчлийг арилгуулснаар улсын хэмжээнд нийт 31809 иргэнд 3116.84 га газрыг өмчлүүлэхээр “Монгол Улсын иргэнд 2026 онд өмчлүүлэх газрын нийт хэмжээ, байршил, зориулалтыг тогтоох тухай” Засгийн газрын тогтоолын төсөлд тусгасан. Үүнээс нийт 31768 иргэнд 3112.85 га газрыг гэр бүлийн хэрэгцээний зориулалтаар, нийт 41 иргэнд 2.69 га газрыг аж ахуйн зориулалтаар тус тус өмчлүүлэхээр төлөвлөсөн байна.

Харин нийслэлийн хэмжээнд 2843 иргэнд одоо эзэмшиж байгаа 156.42 га газрыг өмчлүүлэхээр төлөвлөсөн байна.

Улсын тусгай хэрэгцээний газар

2025 оны байдлаар улсын тусгай хэрэгцээний газрын нийт хэмжээ 33,935,499.59 га талбай буюу улсын нийт нутаг дэвсгэрийн 21.69 хувийг эзэлж байна.

 image

Зураг 1 Улсын тусгай хэрэгцээний газрын эзлэх хувь

Улсын тусгай хэрэгцээний газрын ангилалд улсын тусгай хамгаалалттай газар 23.433 мян.га буюу 69.05 хувийг, Улсын хилийн зурвас газар 9.244,7 мян.га буюу 27.24 хувийг, Улсын батлан хамгаалах болон аюулгүй байдлыг хангах зориулалтаар олгосон газар 124.09 мян.га буюу 0.36 хувийг, Гадаад улсын дипломат төлөөлөгчийн болон консулын газар, олон улсын байгууллагын төлөөлөгчийн газарт олгосон газар 37.6 га буюу 0.0001 хувийг, Шинжлэх ухаан, технологийн сорилт, туршилт болон байгаль орчин, цаг агаарын төлөв байдлын байнгын ажиглалтын талбай 36.12 мян.га буюу 0.11 хувийг, Аймаг дундын отрын бэлчээр 691.4 мян.га буюу 2.04 хувийг, Улсын тэжээлийн сангийн хадлан 110.9 мян.га буюу 0.33 хувийг, Бүтээгдэхүүн хуваах гэрээний дагуу хайгуулын зориулалтаар ашиглах газрын тосны гэрээт талбай 21,4 мян.га буюу 0.06 хувийг, Чөлөөт бүсийн газар 3.1 мян.га буюу 0.01 хувийг, Үндэсний хэмжээний томоохон бүтээн байгуулалт, дэд бүтцийн төсөл, хөтөлбөр болон төр, хувийн хэвшлийн түншлэлийн төсөл хэрэгжүүлэх газар газар 257.2 мян.га буюу 0.75 хувийг, Аюултай хог хаягдлын төвлөрсөн байгууламж барих газар 42 га буюу 0.0001 хувийг, Нийтийн эдэлбэр газар 12.8 га буюу 0.00004 хувийг, Үйлвэрлэл, технологийн парк 2.95 мян.га буюу 0.0087 хувийг тус тус эзэлж байна.

Тайлант онд улсын хэмжээнд 1520218.92 га газрыг улсын тусгай хэрэгцээнд авсан байна. Үүнд:

  • Засгийн газрын 2025 оны 03 дугаар сарын 19-ний өдрийн 139 дүгээр тогтоолоор Нийслэлийн Багануур дүүргийн нутаг дэвсгэрт үйлдвэрлэл, технологийн паркын зориулалтаар 636.24 га газрыг улсын тусгай хэрэгцээнд авсан.
  • Засгийн газрын 2025 оны 07 дугаар сарын 30-ны өдрийн 32 дугаар тогтоолоор Хэнтий, Сэлэнгэ, Өмнөговь аймгийн нутаг дэвсгэрт үйлдвэрлэл, технологийн паркын зориулалтаар 2319.48 га газрыг улсын тусгай хэрэгцээнд авсан.
  • Засгийн газрын 2025 оны 07 дугаар сарын 30-ны өдрийн 33 дугаар тогтоолоор Завхан аймгийн нутаг дэвсгэрт нисэх онгоцны буудлын нийт 221.7 га газрыг улсын тусгай хэрэгцээнд авсан.
  • Засгийн газрын 2025 оны 07 дугаар сарын 30-ны өдрийн 34 дүгээр тогтоолоор Сэлэнгэ аймгийн Жавхлант сумын нутаг дэвсгэрт “Төвийн бүсийн нэгдсэн сүлжээнд ажиллах ус хуримтлуурт усан цахилгаан станц” барих нийт 645.5 га газрыг улсын тусгай хэрэгцээнд авсан.
  • Загийн газры 2025 оны 09 дүгээр сарын 24-ны өдрийн 106 дугаар тогтоолоор Дорноговь, Дорнод, Өвөрхангай, Сүхбаатар, Ховд, Говь-Алтай, Хэнтий, Баянхонгор, Завхан аймгийн нутаг дэвсгэрт Байгалийн нөөц болон дурсгалт газрын хил заагийн нийт 19 газрын 1510396.1 га газрыг улсын тусгай хэрэгцээнд авсан.

Хүснэгт 16. Улсын тусгай харэгцээний газрын өөрчлөлт /га/

 image

 image

Зураг 3. Улсын тусгай хэрэгцээний газрын ангиллын талбайн хэмжээ /га/

Энэхүү өөрчлөлтөөр Хөдөө аж ахуйн газраас 1,462,776.23 га , Хот тосгон, бусад суурины газраас 1,036.67 га, Зам, шугам сүлжээний газраас 4,590.92 га, Ойн сан бүхий газраас 37,573.90 га, Усны сан бүхий газраас 14,241.11 га газар буюу нийт 1520218.92 га улсын тусгай хэрэгцээний газрын ангилалд шилжсэн байна.

Хүснэгт 17. Улсын тусгай хэрэгцээний газрын ангилалд шилжсэн газрууд /га/

 image

Дэлгэрэнгүй мэдээлэл авах эх сурвалж:

Мэдээлэл хариуцагч: Г.Гэрэлтуяа